广州万通汽车学校:你就是我眼中最有魅力的teacher(三)
后天就是教师节了,为了表达对老师们的感恩之情,广州万通的小伙伴们真是玩出了新花样!不仅写的了感恩信,妙笔生花,也玩的转摄影师,捕光捉影。





手写的书信+亲自按下快门的照片,这就是学生眼中最有魅力的teacher。搬好板凳,备好瓜子,吃瓜群众们快跟小编一起来围观吧!
#

(学生处主管徐涛) #

(汽运1503班李东海写给徐涛老师的信) #

(杨有刚老师)
#

(综合1508班班长陈贤科写给杨有刚老师的信)
#

(段官泰老师)
#

(学生写给班主任段官泰老师的信) #

(韩永昌老师)
#

(综合1509班朱嘉喜写给韩永昌老师的信) #

(刘峰老师)
#

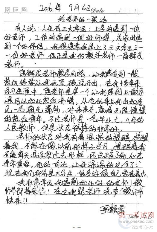
(汽运1509班郑振江写给刘峰老师的信) #






京公网安备 11010802021846号